此圖為示意圖,圖中Ui為直流電壓,后面的C1容量較小,如果輸出改交流輸入,需要加整流電路+C1,C1的容量較大,一般寬范圍輸入,按照功率/容量比為:1:3uF,窄范圍比為1:1uF。
自供電電壓我一般選取12V,輸出電容的規格需要在計算變壓器的時候看輸出的有效值電流,CLC濾波的話,個電容紋波電流滿足輸出有效值電流,L后的C一般會比前一個電容小一些。
關于反激的恒流有很多,常規常見的就是后面 檢測電阻+運放恒流;其他PFC恒流需要看IC本身是否支持;PSR原邊反饋恒流目前做的有兩種模式,一種是在MOS管關斷漏感引起震蕩后面平臺的那段電源取點來實現恒流,另一種方式就是在電流斜線上升的過程中取點恒流,無非就這兩種,具體的看哪家的IC了。
講反激變壓器之前,先說明兩個定義:
1.Vor定義為反射電壓。
2.Krp定義為電流的波峰比,即峰峰值:峰值。
反激是由Buck-Boost電路演變而來,苛刻的點為低輸入電壓,輸出滿載時,所以我們要選擇這個點來設計。
一、選定反射電壓Vor
選反射電壓就是確定大占空比
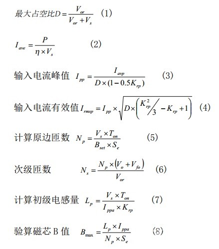
D=Vor/(Vor+Vs),D為占空比,Vor反射電壓,Vs低輸入電壓(此電壓一般為輸入的交流Vac*1.2,因為整流后的電解電容不會無窮大)。
此公式由以下推到可得:
當開關管開通的時候,原邊相當于一個電感,電感兩端加上電壓,其電流值不會突變,線性的上升,有公式上升了的I=Vs*Ton/L,這三項分別是原邊輸入電壓,開關管開通時間,和原邊電感量。在開關管關斷的時候,原邊電感放電,電感電流下降,同樣要尊守上面的公式定律,此時有下降了的I=Vor*Toff/L,這三項分別是原邊感應電壓,即放電電壓,開關管關斷時間,和電感量.在經過一個周期后,原邊電感電流的值會回到和原來一樣,不可能會變,所以,有Vs*Ton/L=Vor*Toff/L,,上升了的,等于下降了的,上式中可以用D來代替Ton,用1-D來代替Toff,移項可得,D=Vor/(Vor+Vs),亦是大占空比。
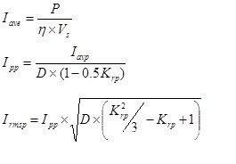
二、確定原邊電流的參數值
無非三個值:平均值、有效值、峰值。

上圖為原邊電流波形圖
前面已經說過,Krp的定義,我們來解方程吧,今天先說到這,方程如下:
三、選定變壓器磁芯
選磁芯有兩種方法,一個是用AP法計算,這個計算繁瑣,而且也不是太準確,二是經驗法,我一般靠經驗。如果沒有經驗也沒有關系,先選一個磁芯如果不行在換大一點的,慢慢經驗積累起來以后,就好了。
四、計算變壓器原邊匝數、線經等
計算匝數、線經首先要選一個B值,這個B值一般選取在0.1-0.25之間,當然了要以后核算的B值為準,一般情況不要超0.3,特殊情況可以,一般作為錳鋅鐵氧體,B值也就到4800GS,即0.48T。說到這里有個法拉第電磁感應定律公式,V*T=L*I=N*B*S,各個字母代表意思就不用說了吧。
線經的載流密度一般4-10A/mm2,如果是鋁基板的那種或者強冷風散熱另當別論,如果多股線的話,不要超過0.4mm并饒,趨膚效應。
五、計算變壓器次邊匝數、線經等
所有的公式和第四步基本一樣,載流密度亦同。
六、計算變壓器反饋繞組匝數
計算匝數原理同上,線經選取0.2mm的即可,因為IC一般吃電流也就幾個mA,線太細了容易斷,太粗了成本受不了。
七、計算變壓器電感量
公式還是法拉第電磁感應定律公式。
八、核算以上參數
至此變壓器設計基本算完畢。
下面把用到的公式看看弄成PDF格式是否可以上傳。
后大家自己編一個表格,根據上面我的公式,這樣變壓器設計基本就完成了。
我只能給出模板,PDF的,大家自己動手做。
大體看了下,反射電壓的選取和KRP略有差異,不做太多評價,環路那部分的計算取值以及穿越頻率和相位裕度,理論值,和實際在板子上測試的有很大出入,所以還是以實際實物作出后,用環路分析儀測試穿越頻率和相位裕度較準確一些。
Krp=1是臨界模式,<1是CCM模式,>1是DCM模式。
波形無法上傳,等我研究下是什么原因,上傳波形后就一目了然了。
雖然套用的是法拉第電磁感應定律,但是對公式沒有理解透,電流是上升的電流,非峰值電流,Np=Vs*Ton/Bset/Se來算,這個時候你還沒有到計算電感量的那一步,另外Lp=Vs*Tona(核算后的)/[Ippa(核算后的)*Krp],Ippa*Krp才是上升的電流,我們前面已經定義了,Krp為峰峰值/峰值電流。
1.如果是初學者建議把3842吃透,然后無論哪家的IC原理都差不多,只不過集成了很多其他的功能,如OLP\OTP、軟啟動等等的。用哪家的IC無所謂,關鍵IC的datasheet你的吃夠,這樣就OK了。
2.PFC在2009年學習的時候就玩過了,當時玩的MC33262和NCP1654,前者是CRM模式,后者是CCM模式的,無論哪種,把datasheet看懂,然后自己編寫一個表格方便以后用。
反射電壓的選取和以下因素有關
低輸入電壓,如果你電源是85~264Vac輸入,那么85*1.2=102Vdc(一般電解電容由于成本的問題要*1.2,如果電解不惜成本可以*1.414,看情況了,這個電壓是整流濾波后的電壓,它是有紋波的,按照波谷考慮),我們選取100Vdc,D=Vor/(Vor+Vs),如果你反射電壓選取80V,那么占空比D就是80/(80+100)=0.44,一般在低輸入電壓的時候大占空比不要超0.5,超了0.5,會有個右半平面零點,必須加斜坡補償來抵消,環路不好調試,初學者建議不要嘗試,有經驗了可以設計大占空比大于0.5,那么Vor可以選大點,但是選大Vor有一問題,在高輸入電壓的時候264Vac,264Vac*1.414=374V,如果你反射選取的大,在MOS管關斷的時候可以計算峰值電壓為:374V+Vor+漏感和雜散電容諧振引起的尖峰=...,MOS的耐壓就要選的高一些,這樣成本又上去了,當然你可以選擇RCD+TVS的方式做吸收,這個還是折中的問題,性價比大化是根本。
現在這種反激電源,恨不得能省個貼片電阻,絕不加貼片電阻,成本拼的太厲害了。
電源適配器壞了的現象
電源適配器日常使用注意事項
廣東的電源適配器廠家是哪家
開關電源中功率MOSFET損壞模式及分析
富士康等4家蘋果代工廠拒付專利費 遭高通起訴
文章轉載自網絡,如有侵權,請聯系刪除。 |